
Altaeros Energies is an alternative energy company based in Somerville, Massachusetts. Their high altitude wind turbine (BAT) harnesses wind power at an altitude where wind is faster and more consistent than closer to the Earth. The company contracted our team at the University of Michigan to validate their 1/20th scale model. We baselined the forces and moments on the current model, determined the current power coefficient, designed and implemented an optimal turbine blade, and optimized the scale model to better predict the potential power output.

Conclusions
-
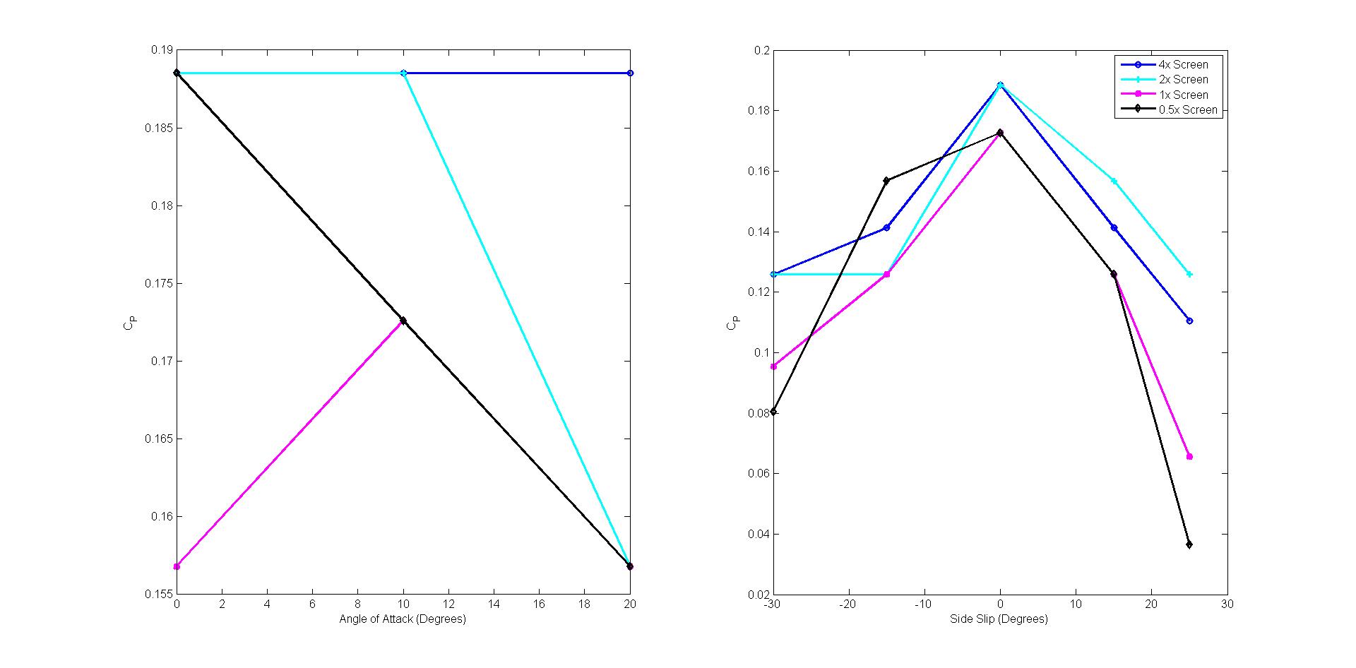
While testing with the given drag screen, we observed a power coefficient of approximately 0.17. The coefficient increased directly with the addition of more drag screens, as we expected.
-
Our propeller yielded a power coefficient of approximately 0.42. Thicker drag screens would be required for this method to accurately model a propeller. The screen does not account for propeller stall at high free stream velocities and assumes a uniform drag distribution, which is a poor representation of flow through a propeller. We recommended that Altaeros continue testing with our propeller design or focus on developing a 1/20th scale propeller representative of their full scale model.
-
We also recommended that Altaeros keep angles of attack and side slip angles less than 11° for testing. At these angles we noticed flow separation, indicated by the irregular movement of the yarn tufts.
Gallery









